分数线
高考政策
高考新闻
高考时间
成绩查询
高考体检
录取查询
高考报名
高考状元
今日推荐
高考大纲
雷火在线
>
青海高考
>
青海高考资讯
>
青海成绩查询
>
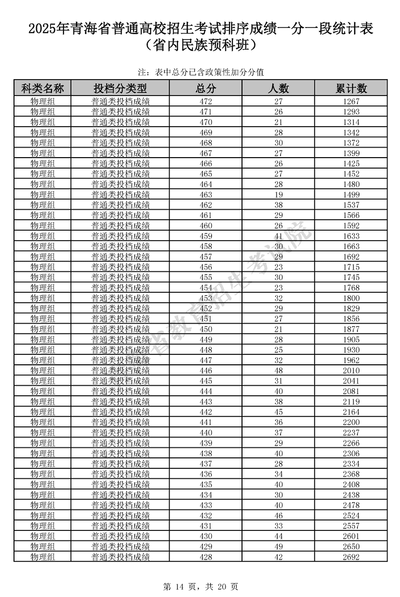
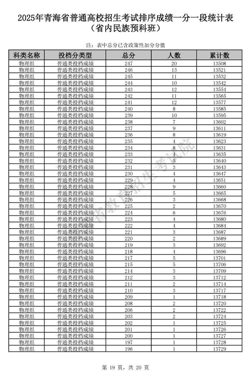
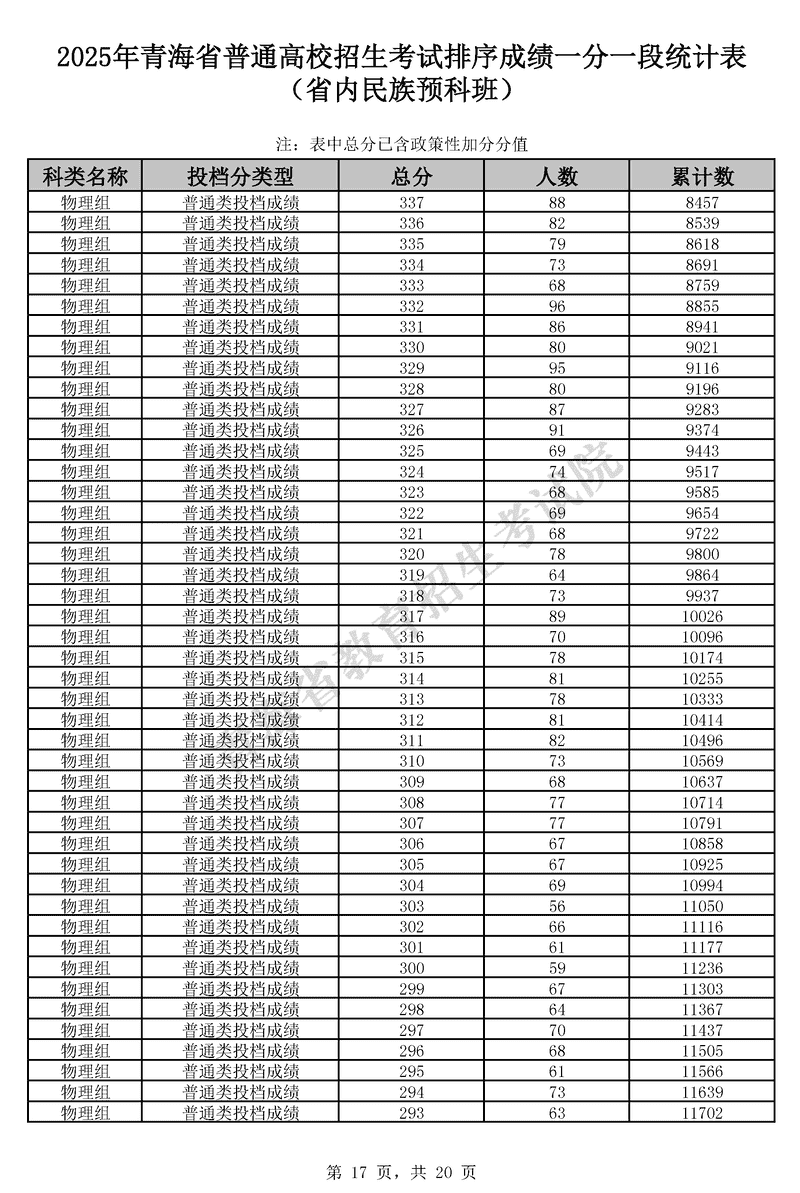
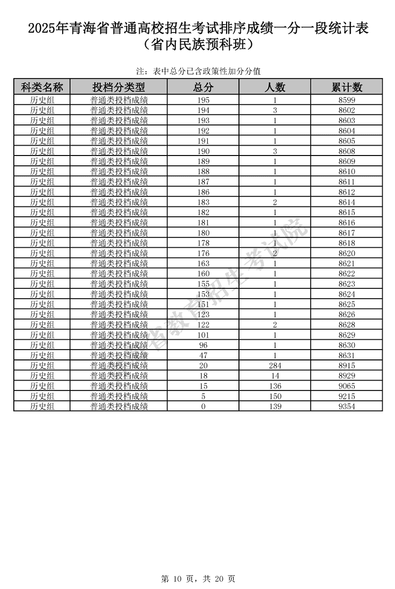
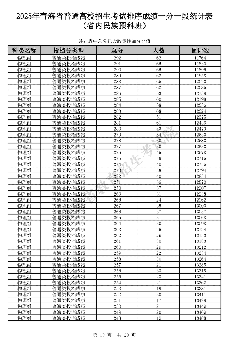
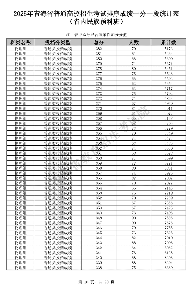
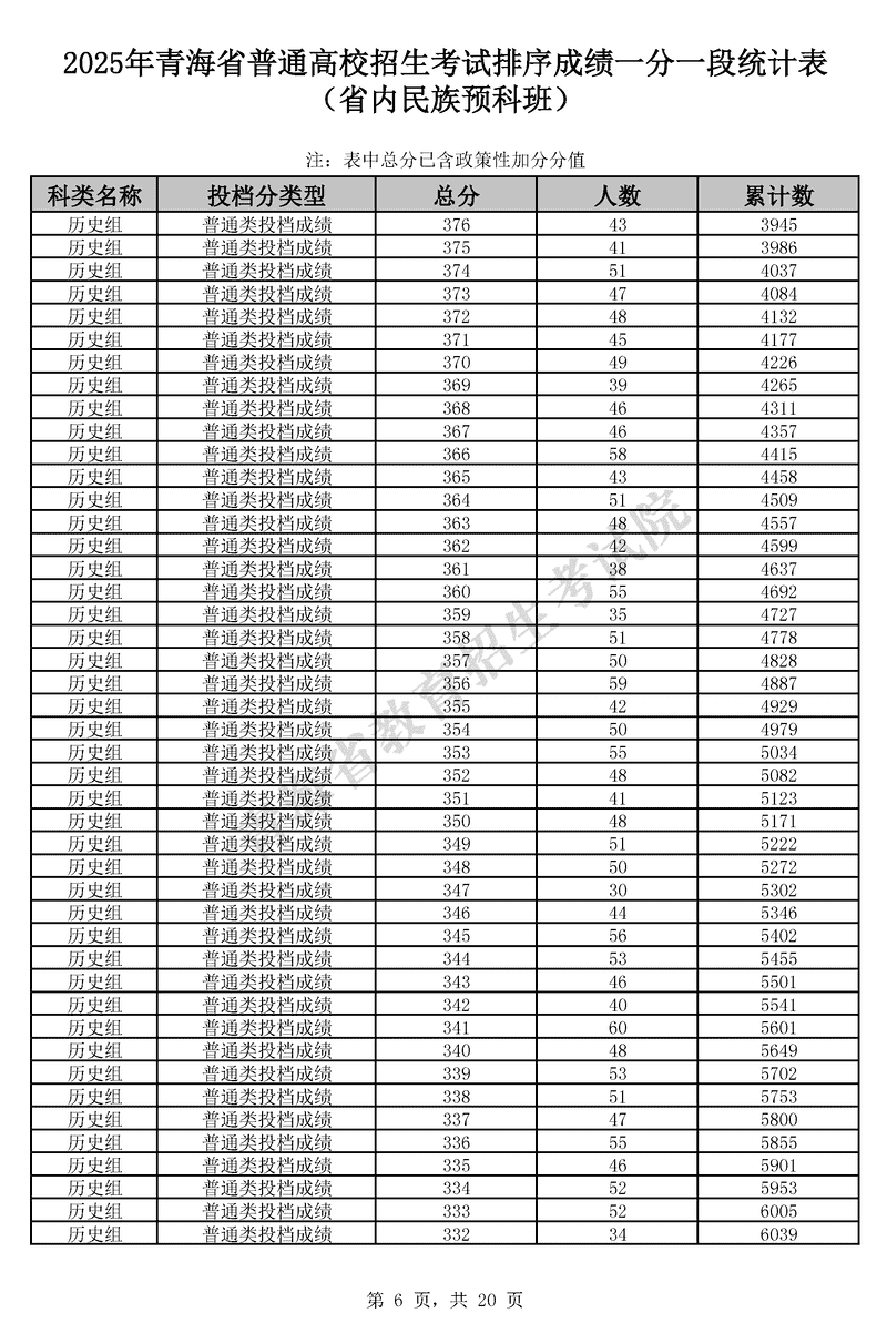
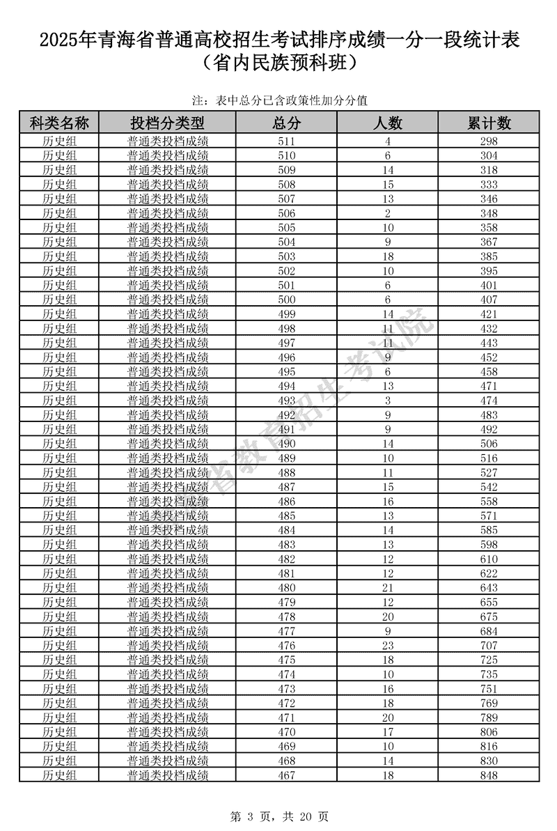
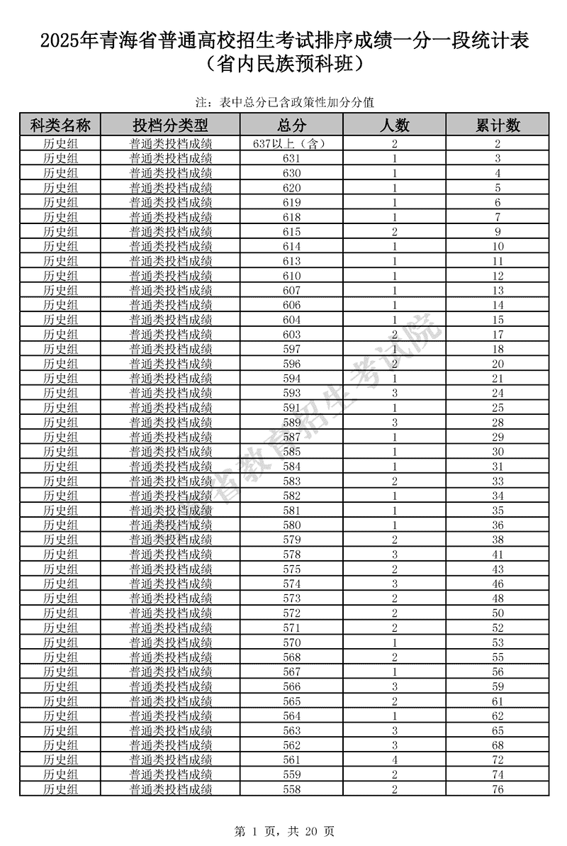
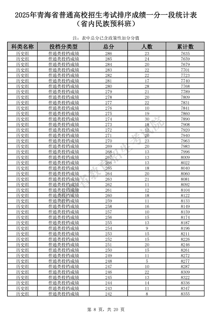
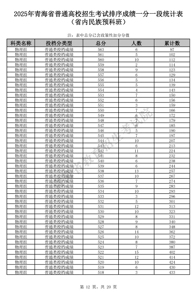
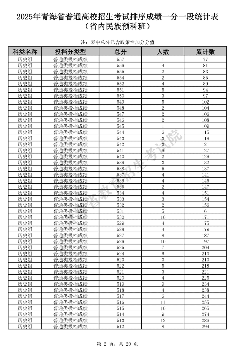
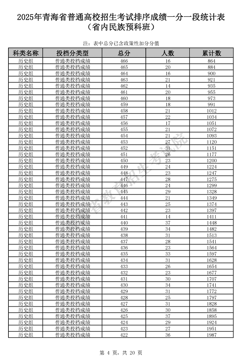
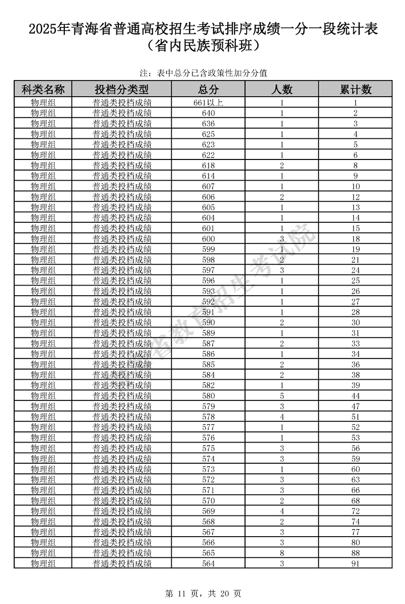
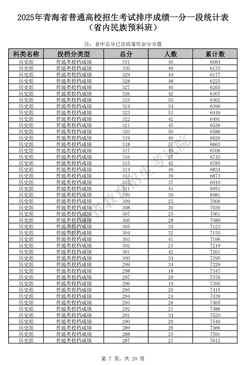
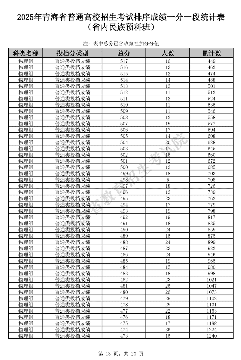
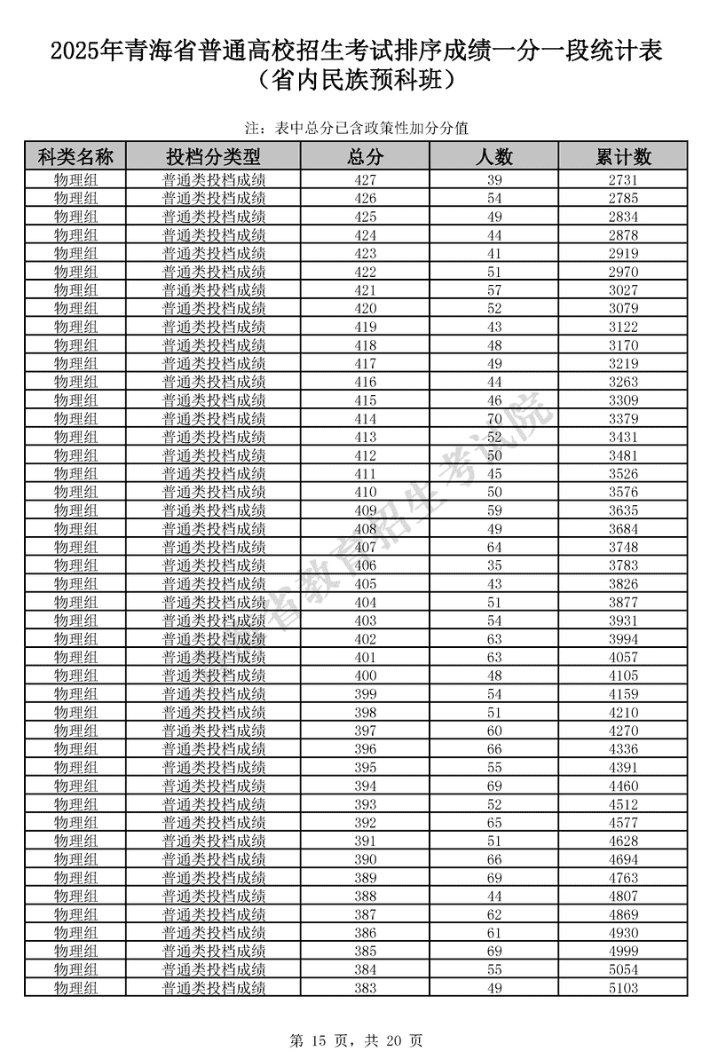
2025年青海高考排序成绩一分一段统计表(省内民族预科班)
时间:
2025-06-26
青海
成绩查询
2025年青海省普通高校招生考试排序成绩一分一段统计表
(省内民族预科班)
相关文章
2025年青海高考排序成绩一分一段统计表(省内民族预科班)
2025年青海高考排序成绩一分一段统计表(高校民族语言授课-藏文)
2025年青海高考排序成绩一分一段统计表(国家专项、地方专项)
2025年青海高考排序成绩一分一段统计表(体育类)
2025年青海高考排序成绩一分一段统计表(艺术类)
2025青海高考历史类一分一段表出炉 最新位次排名
2025青海高考一分一段表最新出炉 历史类成绩分布表
热门推荐
2022安徽高考成绩查询方式及官方系统入口网址:https://www.ahzsks.cn
06-16
2022河南高考成绩查询方式及官方系统入口网址:http://www.haeea.cn
06-16
2022湖北高考成绩查询方式及官方系统入口网址:http://www.hbea.edu.cn
06-16
4
2022贵州高考成绩查询方式及官方系统入口网址:http://zsksy.guizhou.gov.cn
5
2022陕西高考成绩查询方式及官方系统入口网址:http://www.sneea.cn
6
2022年广东省普通高校专升本考试成绩查询入口:https://www.eeagd.edu.cn/ptzsbks
7
2022浙江高考成绩查询方式及官方系统入口网址:https://www.zjzs.net
8
2022山东高考成绩查询方式及官方系统入口网址:http://www.sdzk.cn
9
2022江苏高考成绩查询方式及官方系统入口:https://www.jseea.cn
10
2022广东高考成绩查询方式及官方系统入口网址:https://eea.gd.gov.cn
最新文章
2025年青岛幼儿师范高等专科学校在山东招生代码:E688 专业代码及报考指南
2025年长治医学院在山东招生代码及专业代码是多少?如何查询?
2025年河北医科大学在重庆招生代码及专业代码是多少?如何查询?
2025年石家庄铁道大学四方学院在宁夏招生代码及专业代码是多少?如何查询?
2025年德阳农业科技职业学院在贵州招生代码:0432 专业代码及报考指南
2025年平顶山学院在山西招生代码:2068 专业代码及报考指南
浙江食品科学与工程专业各大学录取分数线:最低460分及对应位次
青海标准化工程专业各大学录取分数线:最低446分及对应位次
河南工程测量技术专业各大学录取分数线:最低175分及对应位次
贵州德语专业各大学录取分数线:最低388分及对应位次
2025年长春理工大学在福建招生代码:2367 专业代码及报考指南
MK官网
|
博业体育(中国)官方网站-登录入口
|
好博在线客服
|
半岛网页版页面
|
AK集团官网(中国)官方网站
|
江南·官方端网站登录入口
|
AK官方网站
|
IM官方网页版
|
米乐在线
|