广东2025高考历史类一分一段表 附位次排名对应大学
时间:
广东 成绩查询
根据下文内容可知,广东2025年高考历史类一分一段表已经为大家整理好了,其中,666分,人数5人,位次48;648分,人数23人,位次267。以下是关于广东高考位次排名对应大学的详细内容,一起来看看吧。
2025广东高考历史一分一段表
2025年广东高考历史一分一段表出炉。一分一段表可以帮助考生明确自己在本省市的排名情况,了解自己与同分考生的竞争位置。以下是详细内容,大家可以看一看。
2025广东高考历史类一分一段整理:
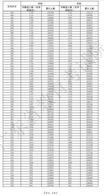
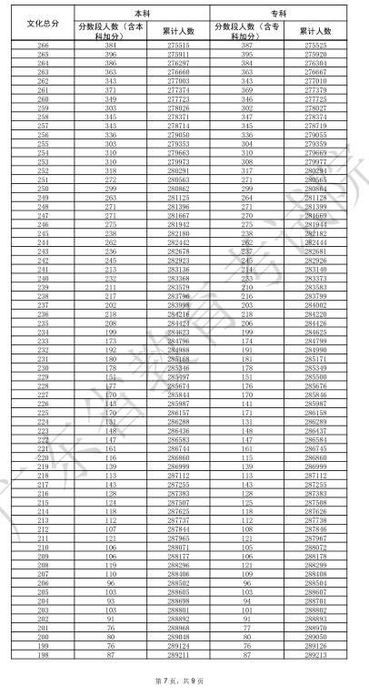
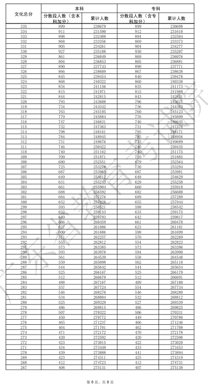
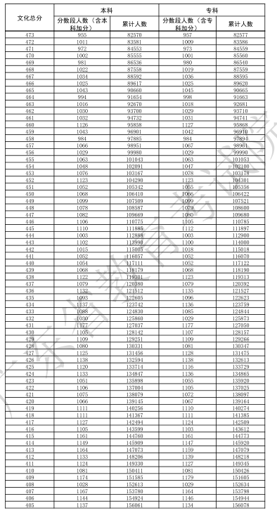
下文是为大家整理的2024年广东高考历史一分一段的数据,大家可以看一看:
广东2024年历史一分一段表
分数 | 人数 | 位次 |
665(含以上) | 20 | 20 |
664 | 3 | 23 |
663 | 6 | 29 |
662 | 6 | 35 |
661 | 5 | 40 |
660 | 6 | 46 |
659 | 7 | 53 |
658 | 3 | 56 |
657 | 9 | 65 |
656 | 11 | 76 |
655 | 11 | 87 |
654 | 14 | 101 |
653 | 6 | 107 |
652 | 11 | 118 |
651 | 9 | 127 |
650 | 13 | 140 |
649 | 9 | 149 |
648 | 13 | 162 |
647 | 14 | 176 |
646 | 10 | 186 |
645 | 17 | 203 |
644 | 20 | 223 |
643 | 17 | 240 |
642 | 4 | 244 |
641 | 12 | 256 |
640 | 24 | 280 |
639 | 22 | 302 |
638 | 29 | 331 |
637 | 29 | 360 |
636 | 25 | 385 |
635 | 24 | 409 |
634 | 33 | 442 |
633 | 36 | 478 |
632 | 29 | 507 |
631 | 41 | 548 |
630 | 45 | 593 |
629 | 37 | 630 |
628 | 49 | 679 |
627 | 43 | 722 |
626 | 54 | 776 |
625 | 52 | 828 |
624 | 52 | 880 |
623 | 67 | 947 |
622 | 73 | 1020 |
621 | 45 | 1065 |
620 | 87 | 1152 |
619 | 45 | 1197 |
618 | 77 | 1274 |
617 | 80 | 1354 |
616 | 60 | 1414 |
615 | 80 | 1494 |
614 | 72 | 1566 |
613 | 91 | 1657 |
612 | 83 | 1740 |
611 | 80 | 1820 |
610 | 101 | 1921 |
609 | 84 | 2005 |
608 | 92 | 2097 |
607 | 122 | 2219 |
606 | 140 | 2359 |
605 | 107 | 2466 |
604 | 116 | 2582 |
603 | 113 | 2695 |
602 | 122 | 2817 |
601 | 128 | 2945 |
600 | 101 | 3046 |
599 | 135 | 3181 |
598 | 120 | 3301 |
597 | 122 | 3423 |
596 | 121 | 3544 |
595 | 165 | 3709 |
594 | 163 | 3872 |
593 | 152 | 4024 |
592 | 165 | 4189 |
591 | 166 | 4355 |
590 | 168 | 4523 |
589 | 151 | 4674 |
588 | 164 | 4838 |
587 | 177 | 5015 |
586 | 183 | 5198 |
585 | 200 | 5398 |
584 | 196 | 5594 |
583 | 207 | 5801 |
582 | 187 | 5988 |
581 | 210 | 6198 |
580 | 194 | 6392 |
579 | 204 | 6596 |
578 | 236 | 6832 |
577 | 214 | 7046 |
576 | 242 | 7288 |
575 | 240 | 7528 |
574 | 230 | 7758 |
573 | 231 | 7989 |
572 | 237 | 8226 |
571 | 249 | 8475 |
570 | 279 | 8754 |
569 | 246 | 9000 |
568 | 245 | 9245 |
567 | 245 | 9490 |
566 | 225 | 9715 |
565 | 271 | 9986 |
564 | 297 | 10283 |
563 | 288 | 10571 |
562 | 313 | 10884 |
561 | 250 | 11134 |
560 | 320 | 11454 |
559 | 319 | 11773 |
558 | 313 | 12086 |
557 | 315 | 12401 |
556 | 340 | 12741 |
555 | 312 | 13053 |
554 | 335 | 13388 |
553 | 308 | 13696 |
552 | 346 | 14042 |
551 | 350 | 14392 |
550 | 386 | 14778 |
549 | 325 | 15103 |
548 | 373 | 15476 |
547 | 391 | 15867 |
546 | 426 | 16293 |
545 | 354 | 16647 |
544 | 419 | 17066 |
543 | 374 | 17440 |
542 | 367 | 17807 |
541 | 418 | 18225 |
540 | 389 | 18614 |
539 | 426 | 19040 |
538 | 394 | 19434 |
537 | 456 | 19890 |
536 | 422 | 20312 |
535 | 408 | 20720 |
534 | 404 | 21124 |
533 | 449 | 21573 |
532 | 420 | 21993 |
531 | 455 | 22448 |
530 | 456 | 22904 |
529 | 502 | 23406 |
528 | 434 | 23840 |
527 | 463 | 24303 |
526 | 493 | 24796 |
525 | 510 | 25306 |
524 | 486 | 25792 |
523 | 505 | 26297 |
522 | 470 | 26767 |
521 | 501 | 27268 |
520 | 473 | 27741 |
519 | 506 | 28247 |
518 | 527 | 28774 |
517 | 540 | 29314 |
516 | 583 | 29897 |
515 | 527 | 30424 |
514 | 557 | 30981 |
513 | 515 | 31496 |
512 | 567 | 32063 |
511 | 570 | 32633 |
510 | 530 | 33163 |
509 | 615 | 33778 |
508 | 546 | 34324 |
507 | 604 | 34928 |
506 | 602 | 35530 |
505 | 589 | 36119 |
504 | 639 | 36758 |
503 | 629 | 37387 |
502 | 655 | 38042 |
501 | 616 | 38658 |
500 | 624 | 39282 |
499 | 641 | 39923 |
498 | 616 | 40539 |
497 | 646 | 41185 |
496 | 656 | 41841 |
495 | 629 | 42470 |
494 | 650 | 43120 |
493 | 648 | 43768 |
492 | 669 | 44437 |
491 | 674 | 45111 |
490 | 722 | 45833 |
489 | 721 | 46554 |
488 | 682 | 47236 |
487 | 688 | 47924 |
486 | 718 | 48642 |
485 | 658 | 49300 |
484 | 729 | 50029 |
483 | 749 | 50778 |
482 | 692 | 51470 |
481 | 703 | 52173 |
480 | 750 | 52923 |
479 | 807 | 53730 |
478 | 735 | 54465 |
477 | 739 | 55204 |
476 | 730 | 55934 |
475 | 767 | 56701 |
474 | 746 | 57447 |
473 | 722 | 58169 |
472 | 696 | 58865 |
471 | 759 | 59624 |
470 | 752 | 60376 |
469 | 762 | 61138 |
468 | 757 | 61895 |
467 | 761 | 62656 |
466 | 809 | 63465 |
465 | 739 | 64204 |
464 | 828 | 65032 |
463 | 795 | 65827 |
462 | 809 | 66636 |
461 | 723 | 67359 |
460 | 897 | 68256 |
459 | 830 | 69086 |
458 | 838 | 69924 |
457 | 805 | 70729 |
456 | 858 | 71587 |
455 | 790 | 72377 |
454 | 815 | 73192 |
453 | 863 | 74055 |
452 | 809 | 74864 |
451 | 894 | 75758 |
450 | 837 | 76595 |
449 | 855 | 77450 |
448 | 853 | 78303 |
447 | 769 | 79072 |
446 | 855 | 79927 |
445 | 899 | 80826 |
444 | 857 | 81683 |
443 | 908 | 82591 |
442 | 860 | 83451 |
441 | 905 | 84356 |
440 | 833 | 85189 |
439 | 921 | 86110 |
438 | 938 | 87048 |
437 | 886 | 87934 |
436 | 902 | 88836 |
435 | 916 | 89752 |
434 | 882 | 90634 |
433 | 923 | 91557 |
432 | 998 | 92555 |
431 | 947 | 93502 |
430 | 888 | 94390 |
429 | 952 | 95342 |
428 | 924 | 96266 |
427 | 953 | 97219 |
426 | 973 | 98192 |
425 | 861 | 99053 |
424 | 938 | 99991 |
423 | 968 | 100959 |
422 | 960 | 101919 |
421 | 1047 | 102966 |
420 | 940 | 103906 |
419 | 952 | 104858 |
418 | 992 | 105850 |
417 | 960 | 106810 |
416 | 966 | 107776 |
415 | 894 | 108670 |
414 | 985 | 109655 |
413 | 976 | 110631 |
412 | 1018 | 111649 |
411 | 944 | 112593 |
410 | 951 | 113544 |
409 | 1001 | 114545 |
408 | 1000 | 115545 |
407 | 1039 | 116584 |
406 | 989 | 117573 |
405 | 1032 | 118605 |
404 | 972 | 119577 |
403 | 1060 | 120637 |
402 | 1006 | 121643 |
401 | 1027 | 122670 |
400 | 1041 | 123711 |
399 | 1006 | 124717 |
398 | 1011 | 125728 |
397 | 1068 | 126796 |
396 | 1033 | 127829 |
395 | 1058 | 128887 |
394 | 974 | 129861 |
393 | 1039 | 130900 |
392 | 1069 | 131969 |
391 | 1007 | 132976 |
390 | 1016 | 133992 |
389 | 989 | 134981 |
388 | 1070 | 136051 |
387 | 1048 | 137099 |
386 | 1061 | 138160 |
385 | 1043 | 139203 |
384 | 1083 | 140286 |
383 | 1133 | 141419 |
382 | 1087 | 142506 |
381 | 1082 | 143588 |
380 | 1059 | 144647 |
379 | 1118 | 145765 |
378 | 1030 | 146795 |
377 | 1014 | 147809 |
376 | 1008 | 148817 |
375 | 1054 | 149871 |
374 | 1072 | 150943 |
373 | 1103 | 152046 |
372 | 1042 | 153088 |
371 | 1078 | 154166 |
370 | 1062 | 155228 |
369 | 1019 | 156247 |
368 | 1032 | 157279 |
367 | 1043 | 158322 |
366 | 961 | 159283 |
365 | 1046 | 160329 |
364 | 1076 | 161405 |
363 | 1120 | 162525 |
362 | 1051 | 163576 |
361 | 1049 | 164625 |
360 | 1068 | 165693 |
359 | 1066 | 166759 |
358 | 1079 | 167838 |
357 | 1118 | 168956 |
356 | 1067 | 170023 |
355 | 1035 | 171058 |
354 | 1079 | 172137 |
353 | 1062 | 173199 |
352 | 1070 | 174269 |
351 | 1060 | 175329 |
350 | 1085 | 176414 |
349 | 1063 | 177477 |
348 | 1044 | 178521 |
347 | 1053 | 179574 |
346 | 1084 | 180658 |
345 | 1089 | 181747 |
344 | 1023 | 182770 |
343 | 1025 | 183795 |
342 | 1016 | 184811 |
341 | 1067 | 185878 |
340 | 1087 | 186965 |
339 | 1016 | 187981 |
338 | 983 | 188964 |
337 | 988 | 189952 |
336 | 1058 | 191010 |
335 | 1034 | 192044 |
334 | 1020 | 193064 |
333 | 1005 | 194069 |
332 | 959 | 195028 |
331 | 1022 | 196050 |
330 | 953 | 197003 |
329 | 1000 | 198003 |
328 | 975 | 198978 |
327 | 986 | 199964 |
326 | 949 | 200913 |
325 | 997 | 201910 |
324 | 981 | 202891 |
323 | 905 | 203796 |
322 | 940 | 204736 |
321 | 980 | 205716 |
320 | 980 | 206696 |
319 | 919 | 207615 |
318 | 925 | 208540 |
317 | 906 | 209446 |
316 | 943 | 210389 |
315 | 954 | 211343 |
314 | 911 | 212254 |
313 | 924 | 213178 |
312 | 913 | 214091 |
311 | 926 | 215017 |
310 | 886 | 215903 |
309 | 885 | 216788 |
308 | 887 | 217675 |
307 | 852 | 218527 |
306 | 891 | 219418 |
305 | 892 | 220310 |
304 | 853 | 221163 |
303 | 823 | 221986 |
302 | 837 | 222823 |
301 | 796 | 223619 |
300 | 794 | 224413 |
299 | 803 | 225216 |
298 | 830 | 226046 |
297 | 799 | 226845 |
296 | 804 | 227649 |
295 | 780 | 228429 |
294 | 798 | 229227 |
293 | 810 | 230037 |
292 | 745 | 230782 |
291 | 766 | 231548 |
290 | 794 | 232342 |
289 | 737 | 233079 |
288 | 756 | 233835 |
287 | 757 | 234592 |
286 | 737 | 235329 |
285 | 751 | 236080 |
284 | 733 | 236813 |
283 | 692 | 237505 |
282 | 695 | 238200 |
281 | 682 | 238882 |
280 | 682 | 239564 |
279 | 701 | 240265 |
278 | 698 | 240963 |
277 | 636 | 241599 |
276 | 663 | 242262 |
275 | 698 | 242960 |
274 | 614 | 243574 |
273 | 633 | 244207 |
272 | 611 | 244818 |
271 | 593 | 245411 |
270 | 564 | 245975 |
269 | 604 | 246579 |
268 | 575 | 247154 |
267 | 556 | 247710 |
266 | 563 | 248273 |
265 | 567 | 248840 |
264 | 512 | 249352 |
263 | 533 | 249885 |
262 | 507 | 250392 |
261 | 480 | 250872 |
260 | 512 | 251384 |
259 | 474 | 251858 |
258 | 480 | 252338 |
257 | 483 | 252821 |
256 | 478 | 253299 |
255 | 426 | 253725 |
254 | 456 | 254181 |
253 | 432 | 254613 |
252 | 390 | 255003 |
251 | 440 | 255443 |
250 | 364 | 255807 |
249 | 444 | 256251 |
248 | 383 | 256634 |
247 | 370 | 257004 |
246 | 369 | 257373 |
245 | 364 | 257737 |
244 | 387 | 258124 |
243 | 371 | 258495 |
242 | 326 | 258821 |
241 | 332 | 259153 |
240 | 335 | 259488 |
239 | 296 | 259784 |
238 | 263 | 260047 |
237 | 285 | 260332 |
236 | 302 | 260634 |
235 | 292 | 260926 |
234 | 287 | 261213 |
233 | 266 | 261479 |
232 | 264 | 261743 |
231 | 241 | 261984 |
230 | 243 | 262227 |
229 | 221 | 262448 |
228 | 213 | 262661 |
227 | 225 | 262886 |
226 | 218 | 263104 |
225 | 192 | 263296 |
224 | 189 | 263485 |
223 | 176 | 263661 |
222 | 201 | 263862 |
221 | 174 | 264036 |
220 | 192 | 264228 |
219 | 153 | 264381 |
218 | 151 | 264532 |
217 | 140 | 264672 |
216 | 129 | 264801 |
215 | 133 | 264934 |
214 | 112 | 265046 |
213 | 122 | 265168 |
212 | 140 | 265308 |
211 | 131 | 265439 |
210 | 104 | 265543 |
209 | 101 | 265644 |
208 | 101 | 265745 |
207 | 93 | 265838 |
206 | 103 | 265941 |
205 | 95 | 266036 |
204 | 105 | 266141 |
203 | 79 | 266220 |
202 | 79 | 266299 |
201 | 71 | 266370 |
200 | 66 | 266436 |
199 | 77 | 266513 |
198 | 73 | 266586 |
197 | 64 | 266650 |
196 | 60 | 266710 |
195 | 66 | 266776 |
194 | 62 | 266838 |
193 | 55 | 266893 |
192 | 64 | 266957 |
191 | 49 | 267006 |
190 | 58 | 267064 |
189 | 60 | 267124 |
188 | 51 | 267175 |
187 | 44 | 267219 |
186 | 54 | 267273 |
185 | 51 | 267324 |
184 | 53 | 267377 |
183 | 44 | 267421 |
182 | 44 | 267465 |
181 | 41 | 267506 |
180 | 45 | 267551 |
179 | 44 | 267595 |
178 | 41 | 267636 |
177 | 43 | 267679 |
176 | 40 | 267719 |
175 | 47 | 267766 |
174 | 38 | 267804 |
173 | 33 | 267837 |
172 | 29 | 267866 |
171 | 32 | 267898 |
170 | 46 | 267944 |
169 | 30 | 267974 |
168 | 29 | 268003 |
167 | 33 | 268036 |
166 | 31 | 268067 |
165 | 34 | 268101 |
164 | 37 | 268138 |
163 | 25 | 268163 |
162 | 31 | 268194 |
161 | 27 | 268221 |
160 | 31 | 268252 |
159 | 30 | 268282 |
158 | 27 | 268309 |
157 | 23 | 268332 |
156 | 26 | 268358 |
155 | 21 | 268379 |
154 | 37 | 268416 |
153 | 28 | 268444 |
152 | 17 | 268461 |
151 | 20 | 268481 |
150 | 19 | 268500 |
149 | 26 | 268526 |
148 | 31 | 268557 |
147 | 14 | 268571 |
146 | 26 | 268597 |
145 | 20 | 268617 |
144 | 17 | 268634 |
143 | 10 | 268644 |
142 | 11 | 268655 |
141 | 12 | 268667 |
140 | 16 | 268683 |
139 | 6 | 268689 |
138 | 10 | 268699 |
137 | 11 | 268710 |
136 | 12 | 268722 |
135 | 10 | 268732 |
134 | 12 | 268744 |
133 | 15 | 268759 |
132 | 9 | 268768 |
131 | 11 | 268779 |
130 | 7 | 268786 |
129 | 8 | 268794 |
128 | 7 | 268801 |
127 | 12 | 268813 |
126 | 5 | 268818 |
125 | 9 | 268827 |
124 | 9 | 268836 |
123 | 7 | 268843 |
122 | 7 | 268850 |
121 | 11 | 268861 |
120 | 11 | 268872 |
119 | 10 | 268882 |
118 | 5 | 268887 |
117 | 10 | 268897 |
116 | 8 | 268905 |
115 | 9 | 268914 |
114 | 8 | 268922 |
113 | 10 | 268932 |
112 | 4 | 268936 |
111 | 7 | 268943 |
110 | 9 | 268952 |
109 | 8 | 268960 |
108 | 12 | 268972 |
107 | 6 | 268978 |
106 | 11 | 268989 |
105 | 4 | 268993 |
104 | 4 | 268997 |
103 | 4 | 269001 |
102 | 8 | 269009 |
101 | 8 | 269017 |
100 | 7 | 269024 |
2025广东高考历史类多少分能上什么大学
中分段(500-550分)
省内:广东工业大学(最低分534)、广州大学(最低分531)、广东外语外贸大学(最低分529)、汕头大学(最低分527)、广东财经大学(最低分524)、广东医科大学(最低分521)、广东海洋大学(最低分518)、佛山科学技术学院(最低分515)、东莞理工学院(最低分512)、广东药科大学(最低分509)、广东技术师范大学(最低分506)、仲恺农业工程学院(最低分503)、五邑大学(最低分500)。
省外:可关注哈尔滨金融学院(487分)等。
注:以上数据是基于2024年的录取情况,2025年的录取分数线可能会有所变化。