雷火在线 >广东高考 >广东高考资讯 >广东成绩查询 >

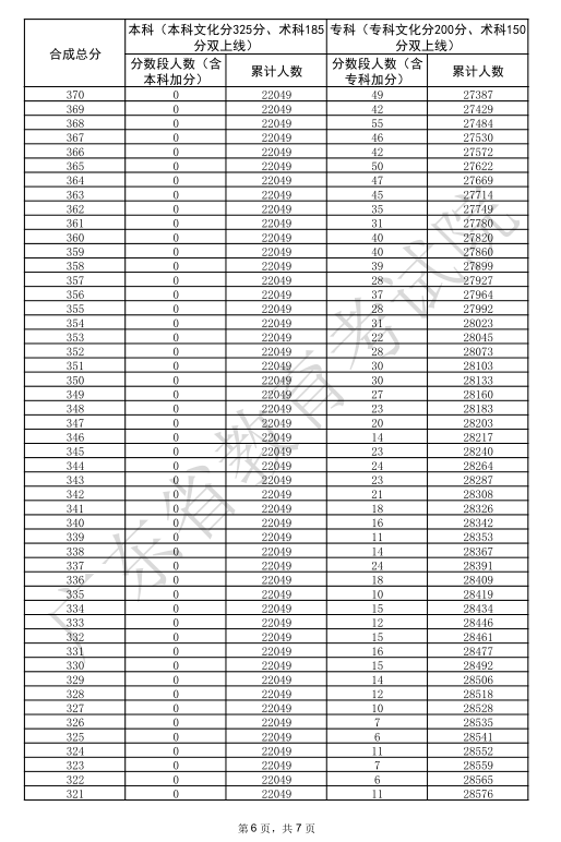
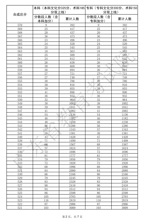
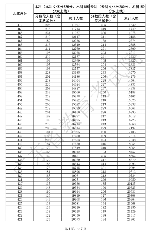
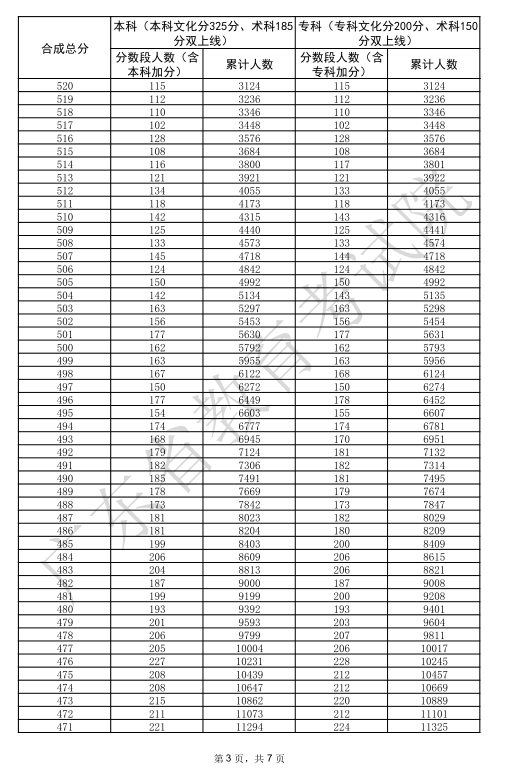
广东2025高考美术与设计类一分一段表

时间: 广东 成绩查询

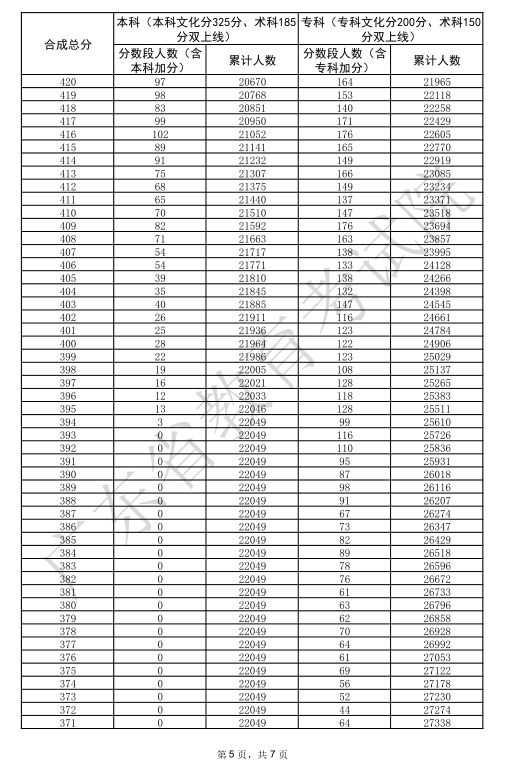
广东2025高考美术与设计类一分一段表已经公布,其中610分累计人数是30人;607分累计人数是39人;600分累计人数是76人;593分累计人数是115人;588分累计人数是159人;587分累计人数是165人。以下是小编整理的详细内容,大家可以看一看。

广东2025高考美术与设计类一分一段表整理

广东2025高考美术与设计类一分一段表:

一分一段表计算排名的方法

位次不是名次,而是指考生成绩和考生人数总和后的综合排序,高考分数最高的考生位次为1,位次主要有省市位次、区县位次和学校位次,在做参考的时候,主要是以省市位次和区县位次为主。

考生根据分数算自己的位次,只可以算出一个范围,是无法算出具体位次的。举例说明一下计算方法,假设考生A高考600分,然后再查看本省市的一分一段表,假如在600分处全省累计人数为1500人,其中全省600分的考生人数有100人,那么考生A的位次就是1400到1500之间。

高考录取位次是指历史类或者物理类考生,高考成绩在全省该科类考生中属于哪个位置。位次是依据高考成绩由高到低来排的,但当成绩相同时就会并列为同一位次。知道高考录取位次就可以大体判断报考哪些大学哪些专业,被录取的可能性最大。位次在填报志愿时有很大作用,可以作为重要依据之一。

高考一分一段表是什么意思

高考一分一段表意思是将全省同科类考生的档案分从高到低排列,再按每1分一段,统计“本段人数”;从本段向上一直到最高分段的所有“本段人数”相加,则为“累计人数”。

“一分一段”是以“1分”为单位,统计获得该分数的考生人数和累计人数(也有的省份是5分一段,如广东)。文理科分开排名,每一个分数段上有多少人一目了然。通过这个表,考生不仅知道各批次的分数线,同时还能了解自己在全省考生中的排位,更有利于考生对自己进行合理的定位。

一分一段表是填报志愿时必须借助的工具,其作用是换算考生的等效分。