2020年西藏高考理科数学试题及答案解析
时间:
数学试题
选择题
1.C 2.D 3.B 4.C 5.B 6.D 7.A 8.C 9.D 10.D 11.A 12.A
填空题
13、7
14、240
15、
16、②③
简答题
17、
18、
19、
20、
21、
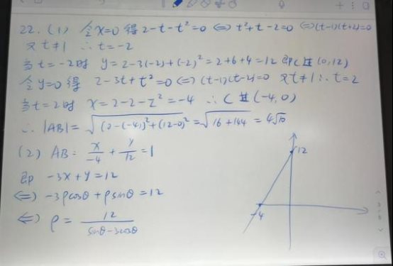
选考题22
选考题23
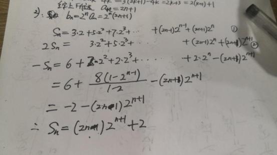
MK官网 | 博业体育(中国)官方网站-登录入口 | 好博在线客服 | 半岛网页版页面 | AK集团官网(中国)官方网站 | 江南·官方端网站登录入口 | AK官方网站 | IM官方网页版 | 米乐在线 |